7.4 - Algorithmes gloutons - Cours
1. Exemple introductif
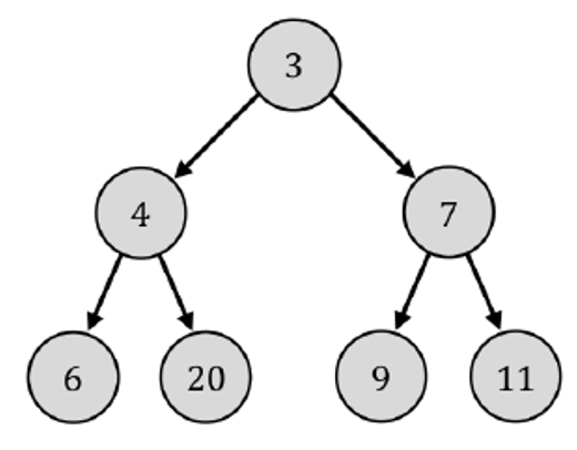
Une chenille mangeuse de pucerons se déplace sur l’arbre ci-dessous, du haut vers le bas uniquement. Les nombres sur l’arbre indiquent le nombre de pucerons présents à chaque nœud. La chenille mange tous les pucerons qu’elle rencontre le long de son chemin. Le but de la chenille est évidemment de manger un maximum de pucerons.
On voit facilement que pour manger le maximum de pucerons, la chenille doit suivre le chemin \(3 \rightarrow 4 \rightarrow 20\) qui lui permet de manger 27 pucerons. Ce résultat est l’optimum global du problème.
Cependant, la chenille est trop gloutonne, et elle n’a pas une vision globale de l’arbre. Elle choisit donc à chaque étape le nœud présentant le plus grand nombre de pucerons. Ce nombre est ce que l’on appelle l’optimum local pour cette étape. Avec cette méthode, la chenille va suivre le chemin : \(3 \rightarrow 7 \rightarrow 11\) qui lui permet de manger 21 pucerons. Cela ne correspond pas à l’optimum global du problème.
2. Algorithmes gloutons
Soit un problème à optimiser. Un algorithme glouton détermine une solution de ce problème en effectuant une série de choix optimaux locaux. Au cours de la construction de cette solution, l’algorithme résout une partie du problème, puis se focalise sur le sous-problème restant à résoudre. Les choix ne sont jamais remis en cause au cours de cette construction.
3. Exemples d’algorithmes gloutons
3.1. Problème du rendu de monnaie
Énoncé
On dispose de pièces de monnaie de valeurs 1, 2, 5, 10, 20, 50, 100, 200 et 500. On souhaite rendre une somme \(S\) en utilisant le moins de pièces possible.
Algorithme glouton
Pour rendre la somme \(S\), on commence par rendre la plus grande pièce possible, puis on continue avec la pièce de valeur la plus grande possible, et ainsi de suite.
Exemple
Rendre la somme \(S = 93\).
- On rend la pièce de 50.
- Il reste à rendre \(93 - 50 = 43\).
- On rend la pièce de 20.
- Il reste à rendre \(43 - 20 = 23\).
- On rend la pièce de 20.
- Il reste à rendre \(23 - 20 = 3\).
- On rend la pièce de 2.
- Il reste à rendre \(3 - 2 = 1\).
- On rend la pièce de 1.
On a donc rendu 5 pièces. On peut vérifier que cette solution est optimale.
3.2. Problème du sac à dos
Énoncé
On dispose d’un sac à dos pouvant contenir une masse maximale \(M\). On dispose de \(n\) objets, chacun ayant un poids \(p_i\) et une valeur \(v_i\). On souhaite remplir le sac à dos de manière à maximiser la valeur totale des objets contenus, sans dépasser la masse maximale \(M\).
Algorithme glouton
On commence par trier les objets par ordre décroissant de leur rapport \(\frac{v_i}{p_i}\). On remplit ensuite le sac à dos avec les objets dans cet ordre, en prenant le maximum possible de chaque objet.
Exemple
On dispose de 4 objets :
- Objet 1 : \(p_1 = 2\), \(v_1 = 10\)
- Objet 2 : \(p_2 = 3\), \(v_2 = 5\)
- Objet 3 : \(p_3 = 4\), \(v_3 = 1\)
- Objet 4 : \(p_4 = 1\), \(v_4 = 2\)
On dispose d’un sac à dos pouvant contenir une masse maximale de 5.
- On calcule les rapports \(\frac{v_i}{p_i}\) :
- Objet 1 : \(\frac{10}{2} = 5\)
- Objet 2 : \(\frac{5}{3} \approx 1.67\)
- Objet 3 : \(\frac{1}{4} = 0.25\)
- Objet 4 : \(\frac{2}{1} = 2\)
- On trie les objets par ordre décroissant de leur rapport :
- Objet 1 : \(\frac{10}{2} = 5\)
- Objet 4 : \(\frac{2}{1} = 2\)
- Objet 2 : \(\frac{5}{3} \approx 1.67\)
- Objet 3 : \(\frac{1}{4} = 0.25\)
- On remplit le sac à dos :
- On prend l’objet 1.
- Il reste à remplir \(5 - 2 = 3\).
- On prend l’objet 4.
- Il reste à remplir \(3 - 1 = 2\).
- On ne peut pas prendre l’objet 2, car son poids est trop grand.
- On ne peut pas prendre l’objet 3, car son poids est trop grand.
On a donc rempli le sac à dos avec les objets 1 et 4, pour une valeur totale de 12. Cette solution n’est pas optimale.
4. Conclusion
Les algorithmes gloutons sont souvent utilisés pour résoudre des problèmes d’optimisation. Ils sont simples à mettre en œuvre et souvent très efficaces. Cependant, ils ne garantissent pas toujours de trouver la solution optimale.
